| 調查批次 : RH2025-03 | 檢體寄出日期:2025 年 09 月 15 日 | 報告回收截止日期:2025 月 09 月 22 日 |
| 寄出份數 : 25 份 | 回收份數(比率) : 25 (100%) | |
| 1.至本次歷年品管檢體「調查批次」與「實驗室間 CV」分佈圖 | 4.本次 G6PD 定量檢驗結果分佈圖 |
| 2.至本次歷年品管檢體「G6PD 活性值」與「實驗室間 CV」分佈圖 | 5.本次血色素 (Hb) 定量檢驗結果分佈圖 |
| 3.至本次各單位 z′ score, D% 及 SDI 分佈圖列表 | 6.其他報告 |
各單位G6PD及血色素(Hb)定量檢驗院際品管調查結果一覽表
| 檢驗單位 代碼 |
確診醫院 代碼 |
回報時效 (天) |
G6PD Reagent Code |
Sample 1 | Sample 2 | Sample 3 | Hb 1 | Hb 2 | Hb 3 | |||||||||||||||||||
|---|---|---|---|---|---|---|---|---|---|---|---|---|---|---|---|---|---|---|---|---|---|---|---|---|---|---|---|---|
| (U/g Hb) | D% | z′ score | SDI | (U/g Hb) | D% | z′ score | SDI | (U/g Hb) | D% | z′ score | SDI | (g/dL) | (g/dL) | (g/dL) | ||||||||||||||
| RH01 | RH01 RH05 |
1 | 3 | 8.3 | 18.6% | 2.5 | 2.1 | 10.5 | 10.5% | 1.5 | 1.2 | 7.9 | 12.9% | 1.8 | 1.4 | 2.7 | 2.9 | 2.7 | ||||||||||
| RH02 | RH02 | 7 | 4 | 6.4 | -8.6% | -1.2 | -0.8 | 9.1 | -4.2% | -0.6 | -0.7 | 6.3 | -10.0% | -1.4 | -1.1 | 2.8 | 3.2 | 2.9 | ||||||||||
| RH04 | RH04 | 4 | 3 | 7.1 | 1.4% | 0.2 | 0.3 | 8.8 | -7.4% | -1.0 | -1.1 | 7.0 | 0.0% | 0.0 | 0.0 | 2.8 | 3.0 | 2.8 | ||||||||||
| RH06 | RH06 | 7 | 3 | 6.3 | -10.0% | -1.4 | -0.9 | 9.2 | -3.2% | -0.4 | -0.5 | 6.4 | -8.6% | -1.2 | -1.0 | 2.9 | 3.0 | 2.9 | ||||||||||
| RH07 | RH07 | 4 | 3 | 6.6 | -5.7% | -0.8 | -0.5 | 8.7 | -8.4% | -1.2 | -1.2 | 6.7 | -4.3% | -0.6 | -0.5 | 2.7 | 2.9 | 2.7 | ||||||||||
| RH08 | RH08 | 4 | 3 | 7.0 | 0.0% | 0.0 | 0.2 | 9.0 | -5.3% | -0.7 | -0.8 | 7.1 | 1.4% | 0.2 | 0.2 | 2.7 | 3.0 | 2.8 | ||||||||||
| RH09 | RH09 | 3 | 4 | 6.6 | -5.7% | -0.8 | -0.5 | 10.5 | 10.5% | 1.5 | 1.2 | 6.8 | -2.9% | -0.4 | -0.3 | 2.5 | 2.7 | 2.6 | ||||||||||
| RH10 | RH10 | 4 | 4 | 6.7 | -4.3% | -0.6 | -0.3 | 9.1 | -4.2% | -0.6 | -0.7 | 6.8 | -2.9% | -0.4 | -0.3 | 2.3 | 2.5 | 2.4 | ||||||||||
| RH12 | RH12 | 4 | 4 | 6.9 | -1.4% | -0.2 | 0.0 | 10.1 | 6.3% | 0.9 | 0.7 | 7.0 | 0.0% | 0.0 | 0.0 | 2.8 | 3.0 | 2.7 | ||||||||||
| RH13 | RH13 | 3 | 4 | 6.1 | -12.9% | -1.8 | -1.2 | 9.5 | 0.0% | 0.0 | -0.1 | 6.3 | -10.0% | -1.4 | -1.1 | 2.8 | 3.0 | 2.7 | ||||||||||
| RH14 | RH14 | 4 | 3 | 8.2 | 17.1% | 2.3 | 2.0 | 10.3 | 8.4% | 1.2 | 0.9 | 8.4 | 20.0% | 2.8 | 2.2 | 3.2 | 3.4 | 3.2 | ||||||||||
| RH19 | RH19 | 2 | 4 | 6.1 | -12.9% | -1.8 | -1.2 | 9.0 | -5.3% | -0.7 | -0.8 | 6.1 | -12.9% | -1.8 | -1.4 | 2.9 | 3.1 | 2.9 | ||||||||||
| A0189 | A0189 | 4 | 4 | 5.9 | -15.7% | -2.2 | -1.5 | 9.4 | -1.1% | -0.1 | -0.3 | 6.3 | -10.0% | -1.4 | -1.1 | 2.6 | 2.8 | 2.7 | ||||||||||
| A0203 | RH18 CL020 |
4 | 3 | 7.5 | 7.1% | 1.0 | 0.9 | 9.9 | 4.2% | 0.6 | 0.4 | 7.4 | 5.7% | 0.8 | 0.6 | 2.7 | 3.0 | 2.7 | ||||||||||
| G026 | G026 | 7 | 3 | 7.1 | 1.4% | 0.2 | 0.3 | 9.2 | -3.2% | -0.4 | -0.5 | 7.2 | 2.9% | 0.4 | 0.3 | 2.8 | 3.0 | 2.8 | ||||||||||
| CL001 | CL001 | 4 | 4 | 7.1 | 1.4% | 0.2 | 0.3 | 9.6 | 1.1% | 0.1 | 0.0 | 7.3 | 4.3% | 0.6 | 0.5 | 2.7 | 3.0 | 2.8 | ||||||||||
| CL002 | RH03 RH11 RH17 G031 B005 CL016 A0511 CL021 CL022 |
2 | 3 | 6.7 | -4.3% | -0.6 | -0.3 | 8.8 | -7.4% | -1.0 | -1.1 | 6.7 | -4.3% | -0.6 | -0.5 | 2.8 | 3.1 | 2.8 | ||||||||||
| CL003 | RH16 | 4 | 4 | 7.4 | 5.7% | 0.8 | 0.8 | 11.6 | 22.1% | 3.1 | 2.7 | 7.5 | 7.1% | 1.0 | 0.8 | 2.7 | 2.9 | 2.7 | ||||||||||
| CL004 | CL004 | 4 | 3 | 7.0 | 0.0% | 0.0 | 0.2 | 9.8 | 3.2% | 0.4 | 0.3 | 7.3 | 4.3% | 0.6 | 0.5 | 2.7 | 2.9 | 2.6 | ||||||||||
| CL014 | CL014 | 7 | 3 | 6.2 | -11.4% | -1.6 | -1.1 | 8.5 | -10.5% | -1.5 | -1.5 | 6.3 | -10.0% | -1.4 | -1.1 | 2.9 | 3.1 | 2.8 | ||||||||||
| CL015B | CL015B | 7 | 3 | 7.0 | 0.0% | 0.0 | 0.2 | 10.1 | 6.3% | 0.9 | 0.7 | 7.1 | 1.4% | 0.2 | 0.2 | 2.8 | 3.0 | 2.9 | ||||||||||
| CL017 | CL017 | 5 | 4 | 7.0 | 0.0% | 0.0 | 0.2 | 9.1 | -4.2% | -0.6 | -0.7 | 6.8 | -2.9% | -0.4 | -0.3 | 2.7 | 3.0 | 2.8 | ||||||||||
| CL018 | CL018 | 4 | 3 | 8.1 | 15.7% | 2.2 | 1.8 | 10.4 | 9.5% | 1.3 | 1.1 | 8.1 | 15.7% | 2.2 | 1.7 | 2.7 | 3.0 | 2.7 | ||||||||||
| CL019 | CL019 | 7 | 3 | 7.3 | 4.3% | 0.6 | 0.6 | 10.1 | 6.3% | 0.9 | 0.7 | 7.5 | 7.1% | 1.0 | 0.8 | 2.8 | 3.0 | 2.7 | ||||||||||
| CL023 | CL023 | 4 | 3 | 7.6 | 8.6% | 1.2 | 1.1 | 10.3 | 8.4% | 1.2 | 0.9 | 7.6 | 8.6% | 1.2 | 1.0 | 2.7 | 3.0 | 2.7 | ||||||||||
| Total participating laboratories = 25 | ||||||||||||||||||||||||||||
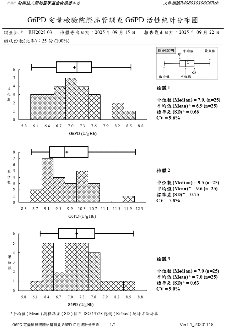
| Xa (Median) | - | 4 | - | 7.0 | 9.5 | 7.0 | 2.7 | 3.0 | 2.7 | |||||||||||||||||||
| uXa | - | - | - | 0.145 | 0.165 | 0.139 | - | - | - | |||||||||||||||||||
| σp | - | - | - | 0.490 | 0.665 | 0.490 | - | - | - | |||||||||||||||||||
| Range | - | 1-7 | - | 5.9-8.3 | 8.5-11.6 | 6.1-8.4 | 2.3-3.2 | 2.5-3.4 | 2.4-3.2 | |||||||||||||||||||
| n | - | - | - | 25 | 25 | 25 | 25 | 25 | 25 | |||||||||||||||||||
| Mean | - | - | - | 6.9 | 9.6 | 7.0 | 2.8 | 3.0 | 2.8 | |||||||||||||||||||
| SD | - | - | - | 0.66 | 0.75 | 0.63 | 0.11 | 0.00 | 0.11 | |||||||||||||||||||
| CV | - | - | - | 9.6% | 7.8% | 9.0% | 3.9% | 0.0% | 3.9% | |||||||||||||||||||
| ||||||||||||||||||||||||||||
|
G6PD Reagent Code |
Lab |
|
| Innovation | 3 | A0203, CL002, CL004, CL014, CL015B, CL018, CL019, CL023, G026, RH01, RH04, RH06, RH07, RH08, RH14 |
| Lanner | 4 | A0189, CL001, CL003, CL017, RH02, RH09, RH10, RH12, RH13, RH19 |
若有任何疑問,歡迎來電(函)聯繫或指教
地 址:10699
臺北信維郵局第 624 信箱 電 話:(02)2703-6080
e-mail:
傳 真: (02)2703-6070
財團法人預防醫學基金會
updated : 22 Sep, 2025